Математическое моделирование
Математическая модель — это математическое представление реальности.
Математическое моделирование — процесс построения и изучения математических моделей.
Все естественные и общественные науки, использующие математический аппарат, по сути,
занимаются математическим моделированием: заменяют реальный объект его математической моделью и затем изучают последнюю.
Математическое моделирование представляет собой сложный симбиоз науки и искусства, предполагающий, с одной стороны,
энциклопедическое знание почти всех разделов современной математики, а с другой - тонкое интуитивное восприятие исследуемых процессов и систем.
Теоретические основы математического моделирования находятся в стадии столь высокого абстрагирования и гипертрофированной общности,
что почти не допускают извлечения какого-либо конструктивного результата, полезного для практики.Иными словами, "легко из дома реальности зайти в лес математики,
но мало кто умеет вернуться назад".
В связи с этим большая часть авторов, старающихся приобщить новые поколения ученых к науке моделирования, предпочитает иной, вполне проторенный путь написания книг.
Этот путь представляет собой формирование эклектической смеси неглубоких срезов из различных разделов прикладной математики - дифференциальных уравнений, теории вероятностей, алгебраических, логических или топологических методов и т.п.
Такого рода литература может быть полезна для развития математической эрудиции и общей ориентации в практике моделирования.
И, наконец, еще один вид литературы, относящейся к математическому моделированию, связан с узко специализированными монографиями, ориентированными на глубокое и конструктивное изучение конкретных типов моделей.
Классификация моделей. Априорный выбор математической модели предполагает наличие у разработчика модели, с одной стороны, глубоких знаний об изучаемом процессе или системе,
а с другой - хотя бы общих представлений о существующих в настоящее время математических моделях.
Упорядочение таких представлений осуществляется на основе классификаций. В зависимости от выбранного классификационного показателя математичсекие модели разделяются на:
- статические и динамические
- линейные и нелинейные,
- сосредоточенные и распределенные,
- дискретные и непрерывные,
- детерминированные и стохастические и т.п.
Иногда простейшая классификация оказывается не достаточно полной. Так, например, множество моделей, отражающих неопределенность ситуации, можно разделить на:
- стохастические
- нечеткие
- хаотические.
Классификация моделей в основном повторяет классификацию систем. Однако это вовсе не означает, что тип модели должен соответствовать типу моделируемой системы.
Так, например, движение любой материальной точки представляет собой непрерывный во времени процесс; в то же время в качестве его модели на практике чаще всего
используется дискретная во времени модель, позволяющая выполнять расчеты с учетом специфики используемой цифровой техники.
Наряду с формальной классификацией, модели различаются по способу представления объекта на структурные или функциональные модели.
Структурные модели представляют объект как систему со своим устройством и механизмом функционирования.
Функциональные модели не используют таких представлений и отражают только внешне воспринимаемое поведение (функционирование) объекта.
В их предельном выражении они называются также моделями «чёрного ящика».
Возможны также комбинированные типы моделей, которые иногда называют моделями «серого ящика».
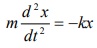
Пример 1. Рассмотрим механическую систему, состоящую из пружины, закрепленной с одного конца, и груза массой m, прикрепленного к свободному концу пружины.
Будем считать, что груз может двигаться только в направлении оси пружины (например, движение происходит вдоль стержня).
Построим математическую модель этой системы.
Будем описывать состояние системы расстоянием x от центра груза до его положения равновесия.
Опишем взаимодействие пружины и груза с помощью закона Гука F=-kx после чего воспользуемся вторым законом Ньютона, чтобы выразить его в форме дифференциального уравнения:
![]()
Полученное уравнение описывает математическую модель рассмотренной физической системы. Эта модель называется «гармоническим осциллятором».
По формальной классификации эта модель линейная, детерминисткая, динамическая, сосредоточенная, непрерывная.
В процессе её построения мы сделали множество допущений (об отсутствии внешних сил, отсутствии трения, малости отклонений и т. д.), которые в реальности могут не выполняться.
По отношению к реальности это, чаще всего, модель типа упрощение («опустим для ясности некоторые детали»), поскольку опущены некоторые существенные универсальные особенности (например, диссипация).
В некотором приближении (скажем, пока отклонение груза от равновесия невелико, при малом трении, в течение не слишком большого времени и при соблюдении некоторых других условий),
такая модель достаточно хорошо описывает реальную механическую систему, поскольку отброшенные факторы оказывают пренебрежимо малое влияние на её поведение.
Однако модель можно уточнить, приняв во внимание какие-то из этих факторов. Это приведет к новой модели, с более широкой (хотя и снова ограниченной) областью применимости.
Жёсткие и мягкие модели.
Гармонический осциллятор — пример так называемой «жёсткой» модели. Она получена в результате сильной идеализации реальной физической системы.
Для решения вопроса о её применимости необходимо понять, насколько существенными являются факторы, которыми мы пренебрегли.
Иными словами, нужно исследовать «мягкую» модель, получающуюся малым возмущением «жёсткой». Она может задаваться, например, следующим уравнением:
![]()
Здесь f — некоторая функция, в которой может учитываться сила трения или зависимость коэффициента жёсткости пружины от степени её растяжения E, — некоторый малый параметр.
Явный вид функции f нас в данный момент не интересует. Если мы докажем, что поведение мягкой модели принципиально не отличается от поведения жёсткой (вне зависимости от явного
вида возмущающих факторов, если они достаточно малы), задача сведется к исследованию жёсткой модели. В противном случае применение результатов, полученных при изучении жёсткой модели, потребует дополнительных исследований.
Например, решением уравнения гармонического осциллятора являются функции вида x(t) = A sin √kt + B cos √kt , то есть колебания с постоянной амплитудой.
Следует ли из этого, что реальный осциллятор будет бесконечно долго колебаться с постоянной амплитудой? Нет, поскольку рассматривая систему со сколь угодно малым трением
(всегда присутствующим в реальной системе), мы получим затухающие колебания. Поведение системы качественно изменилось.
Если система сохраняет свое качественное поведение при малом возмущении, говорят, что она структурно устойчива. Гармонический осциллятор — пример структурнонеустойчивой (негрубой) системы.
Тем не менее, эту модель можно применять для изучения процессов на ограниченных промежутках времени.
Пример 2. Модель Мальтуса
Скорость роста пропорциональна текущему размеру популяции. Она описывается дифференциальным уравнением ẋ=Αx,
где, Α- некоторый параметр, определяемый разностью между рождаемостью и смертностью. Решением этого уравнения является экспоненциальная функция x(t)=x0eat
Если рождаемость превосходит смертность (Α>0), размер популяции неограниченно и очень быстро возрастает.
Понятно, что в действительности этого не может происходить из-за ограниченности ресурсов.
При достижении некоторого критического объёма популяции модель перестает быть адекватной, поскольку не учитывает ограниченность ресурсов.
|
|
Уточнением модели Мальтуса может служить логистическая модель, которая описывается дифференциальным уравнением Ферхюльста
![]()
где, x3 - — «равновесный» размер популяции, при котором рождаемость в точности компенсируется смертностью. Размер популяции в такой модели стремится к равновесному значению x3, причем такое поведение структурно устойчиво.
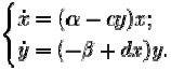
Пример 3. Система хищник-жертва
Допустим, что на некоторой территории обитают два вида животных: кролики (питающиеся растениями) и лисы (питающиеся кроликами). Пусть число кроликов x, число лис y.
Используя модель Мальтуса с необходимыми поправками, учитывающими поедание кроликов лисами, приходим к следующей системе, носящей имя модели Лотки — Вольтерра:

Эта система имеет равновесное состояние, когда число кроликов и лис постоянно. Отклонение от этого состояния приводит к колебаниям численности кроликов и лис, аналогичным колебаниям гармонического осциллятора.
Как и в случае гармонического осциллятора, это поведение не является структурно устойчивым: малое изменение модели (например, учитывающее ограниченность ресурсов, необходимых кроликам) может привести к качественному изменению поведения.
Например, равновесное состояние может стать устойчивым, и колебания численности будут затухать.
Возможна и противоположная ситуация, когда любое малое отклонение от положения равновесия приведет к катастрофическим последствиям, вплоть до полного вымирания одного из видов.
На вопрос о том, какой из этих сценариев реализуется, модель Вольтерра — Лотки ответа не дает: здесь требуются дополнительные исследования.
Разработка модели Разработка математической модели, как правило, включает в себя три основных этапа.
- выбор структуры,
- определение параметров
- проверку подобия.
В общем случае моделирование осуществляется итерационно.
Это связано с тем, что практически невозможно оценить качество выбранной непараметрической структуры модели без оценки ее параметров.
Осуществив априорный выбор структуры, разработчик модели переходит к определению ее параметров.
В случае, когда имеется набор численных данных, полученных в результате наблюдения за функционированием реальной системы-прототипа или ее экспериментального аналога,
искомые параметры находятся путем применения алгоритмов обработки указанной информации.
В частности, широко используется математический аппарат статистического оценивания [1, 5, 6 и др.].
Последний этап создания модели связан с проверкой ее адекватности, или подобия моделируемой системе.
При этом адекватность понимается в крайне узком смысле этого слова, а именно в контексте близости изучаемых свойств системы и аналогичных характеристик модели.
Например, при исследовании выходных характеристик системы формируется мера близости между конкретными выходными показателями реальной системы и ее модели.
Очевидно, что данная мера представляет собой реализацию некоторой случайной величины.
Определив функцию распределения этой величины, можно найти по соответствующим таблицам математической статистики критические значения выбранной меры, отвечающие a'priori выбранному уровню доверия разработчика модели своему детищу.
Если уровень доверия оказывается ниже критического, необходимо перейти либо к первому этапу и скорректировать структуру модели, либо ко второму этапу сбора и обработки экспериментальных данных. И все начинается сначала...
